ChEBI ID  | ChEBI Name | KEGG ID | Molecule |
| CHEBI:18405 | pyridoxal 5'-phosphate | C00018 |  |
| CHEBI:16027 | adenosine 5'-monophosphate | C00020 |  |
| CHEBI:17980 | 3'-phospho-5'-adenylyl sulfate | C00053 |  |
| CHEBI:17985 | adenosine 3',5'-bismonophosphate | C00054 |  |
| CHEBI:17361 | cytidine 5'-monophosphate | C00055 |  |
| CHEBI:17621 | FMN | C00061 |  |
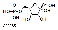
| CHEBI:15946 | keto-D-fructose 6-phosphate | C00085 |  |
| CHEBI:61553 | D-fructofuranose 6-phosphate | C00085 |  |
| CHEBI:15978 | sn-glycerol 3-phosphate | C00093 |  |
| CHEBI:29042 | alpha-D-glucose 1-phosphate | C00103 |  |
| CHEBI:16695 | uridine 5'-monophosphate | C00105 |  |
| CHEBI:17797 | aldehydo-D-ribose 5-phosphate | C00117 |  |
| CHEBI:52742 | D-ribofuranose 5-phosphate | C00117 |  |
| CHEBI:17202 | IMP | C00130 |  |
| CHEBI:17345 | guanosine 5'-monophosphate | C00144 |  |
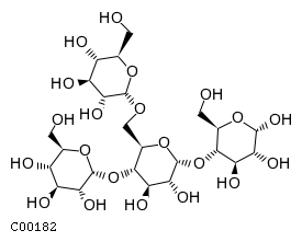
| CHEBI:28087 | glycogen | C00182 |  |
| CHEBI:15918 | 2'-deoxycytosine 5'-monophosphate | C00239 |  |
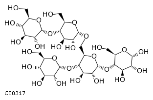
| CHEBI:28057 | amylopectin | C00317 |  |
| CHEBI:16412 | lipopolysaccharide | C00338 | No image available |
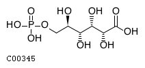
| CHEBI:48928 | 6-phospho-D-gluconic acid | C00345 |  |
| CHEBI:17553 | O-phosphoethanolamine | C00346 |  |
| CHEBI:16905 | keto-D-fructose 1,6-bisphosphate | C00354 |  |
| CHEBI:37736 | D-fructofuranose 1,6-bisphosphate | C00354 |  |
| CHEBI:15784 | N-acetyl-D-glucosamine 6-phosphate | C00357 |  |
| CHEBI:17713 | 2'-deoxyadenosine 5'-monophosphate | C00360 |  |
| CHEBI:16192 | 2'-deoxyguanosine 5'-monophosphate | C00362 |  |
| CHEBI:17013 | dTMP | C00364 |  |
| CHEBI:17622 | dUMP | C00365 |  |
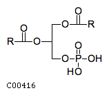
| CHEBI:16337 | phosphatidic acid | C00416 |  |
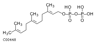
| CHEBI:17407 | 2-trans,6-trans-farnesyl diphosphate | C00448 |  |
| CHEBI:18132 | phosphocholine | C00588 |  |
| CHEBI:28803 | pyridoxine 5'-phosphate | C00627 |  |
| CHEBI:18335 | pyridoxamine 5'-phosphate | C00647 |  |
| CHEBI:16218 | beta-D-glucose 1-phosphate | C00663 |  |
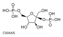
| CHEBI:28602 | beta-D-fructofuranose 2,6-bisphosphate | C00665 |  |
| CHEBI:17665 | alpha-D-glucose 6-phosphate | C00668 |  |
| CHEBI:16975 | 1-acyl-sn-glycerol 3-phosphate | C00681 |  |
| CHEBI:28223 | adenosine 2'-phosphate | C00946 |  |
| CHEBI:17150 | 2-phosphoglycolic acid | C00988 |  |
| CHEBI:15811 | O-phospho-L-serine | C01005 |  |
| CHEBI:9533 | thiamine(1+) monophosphate | C01081 |  |
| CHEBI:18105 | keto-D-fructose 1-phosphate | C01094 |  |
| CHEBI:37515 | D-fructofuranose 1-phosphate | C01094 |  |
| CHEBI:16241 | aldehydo-D-arabinose 5-phosphate | C01112 |  |
| CHEBI:16893 | sphinganine 1-phosphate | C01120 |  |
| CHEBI:17720 | 2,3-bisphospho-D-glyceric acid | C01159 |  |
| CHEBI:18116 | pseudouridine 5'-phosphate | C01168 |  |
| CHEBI:17719 | beta-D-glucose 6-phosphate | C01172 |  |
| CHEBI:18297 | 1D-myo-inositol 1-phosphate | C01177 |  |
| CHEBI:15840 | N-acylneuraminic acid 9-phosphate | C01200 |  |
| CHEBI:17401 | myo-inositol hexakisphosphate | C01204 |  |
| CHEBI:17816 | 1D-myo-inositol 1,4-bisphosphate | C01220 |  |
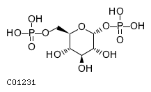
| CHEBI:18148 | alpha-D-glucose 1,6-bisphosphate | C01231 |  |
| CHEBI:18228 | 1D-myo-inositol 1,3,4-trisphosphate | C01243 |  |
| CHEBI:16595 | 1D-myo-inositol 1,4,5-trisphosphate | C01245 |  |
| CHEBI:16783 | 1D-myo-inositol 1,3,4,5-tetrakisphosphate | C01272 |  |
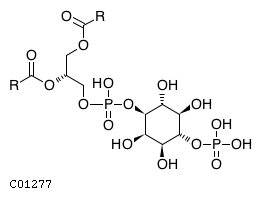
| CHEBI:17526 | 1-phosphatidyl-1D-myo-inositol 4-phosphate | C01277 |  |
| CHEBI:28895 | 3'-UMP | C01368 |  |
| CHEBI:16197 | N-acylsphingosine 1-phosphate | C02960 |  |
| CHEBI:17270 | glycerol 2-phosphate | C02979 |  |
| CHEBI:28070 | uridine 2'-phosphate | C03031 |  |
| CHEBI:15442 | presqualene diphosphate | C03428 |  |
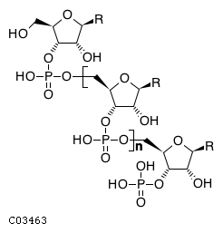
| CHEBI:1359 | 3'-phosphopolynucleotide | C03463 |  |
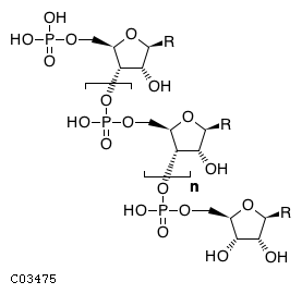
| CHEBI:1981 | 5'-phosphopolynucleotide | C03475 |  |
| CHEBI:18384 | 1D-myo-inositol 4-phosphate | C03546 |  |
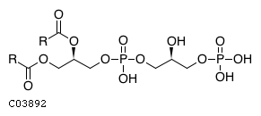
| CHEBI:37393 | 1-(3-sn-phosphatidyl)-sn-glycerol 3-phosphate | C03892 |  |
| CHEBI:18169 | 1D-myo-inositol 3-phosphate | C04006 |  |
| CHEBI:18225 | myo-inositol 1,3-bisphosphate | C04062 |  |
| CHEBI:28858 | 1D-myo-inositol 3,4-bisphosphate | C04063 |  |
| CHEBI:17283 | 1-phosphatidyl-1D-myo-inositol 3-phosphate | C04549 |  |
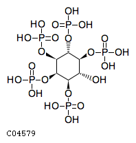
| CHEBI:18345 | 1D-myo-inositol 1,2,3,4,5-pentakisphosphate | C04579 |  |
| CHEBI:48405 | 1D-myo-inositol 1,2,3,5,6-pentakisphosphate | C04579 |  |
| CHEBI:18348 | 1-phosphatidyl-1D-myo-inositol 4,5-bisphosphate | C04637 |  |
| CHEBI:16618 | 1-phosphatidyl-1D-myo-inositol 3,4,5-trisphosphate | C05981 |  |
| CHEBI:37550 | sphingosine 1-phosphate | C06124 |  |
| CHEBI:37493 | 1D-myo-inositol 5-phosphate | C06155 |  |
| CHEBI:28806 | 2'-deoxyinosine-5'-monophosphate | C06196 |  |
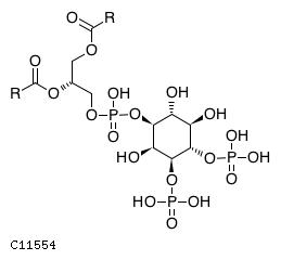
| CHEBI:16152 | 1-phosphatidyl-1D-myo-inositol 3,4-bisphosphate | C11554 |  |
| CHEBI:16067 | 1D-myo-inositol 1,4,5,6-tetrakisphosphate | C11555 |  |
| CHEBI:16851 | 1-phosphatidyl-1D-myo-inositol 3,5-bisphosphate | C11556 |  |
| CHEBI:16500 | 1-phosphatidyl-1D-myo-inositol 5-phosphate | C11557 |  |
| CHEBI:50605 | 2-hydroxy-5-(methylsulfanyl)-3-oxopent-1-enyl phosphate | C15651 |  |
| CHEBI:61437 | fructoselysine 6-phosphate | C16489 |  |
| CHEBI:15245 | thymidine 5'-monophosphate | NA | No image available |
| CHEBI:203600 | 1D-myo-inositol 1,4,5-trisphosphate(6-) | NA | No image available |
| CHEBI:246422 | dUMP(2-) | NA | No image available |
| CHEBI:24838 | inorganic phosphate | NA | No image available |
| CHEBI:25446 | myo-inositol monophosphate | NA | No image available |
| CHEBI:25448 | myo-inositol phosphate | NA | No image available |
| CHEBI:25449 | myo-inositol tetrakisphosphate | NA | No image available |
| CHEBI:26613 | scyllo-inositol phosphate | NA | No image available |
| CHEBI:26999 | dTMP(2-) | NA | No image available |
| CHEBI:295975 | choline phosphate(1-) | NA | No image available |
| CHEBI:37575 | thiamine(1+) monophosphate(2-) | NA | No image available |
| CHEBI:456215 | adenosine 5'-monophosphate(2-) | NA | No image available |
| CHEBI:46322 | 2'-deoxyuridine 3'-monophosphate | NA | No image available |
| CHEBI:46970 | phytosphingosine 1-phosphate | NA | No image available |
| CHEBI:50277 | farnesyl diphosphate | NA | No image available |
| CHEBI:52288 | 1-octadec-9-enoylglycero-3-phosphate | NA | No image available |
| CHEBI:57310 | presqualene diphosphate(3-) | NA | No image available |
| CHEBI:57513 | N-acetyl-D-glucosamine 6-phosphate(2-) | NA | No image available |
| CHEBI:57524 | O-phosphonato-L-serine(2-) | NA | No image available |
| CHEBI:57537 | N-acylneuraminate 9-phosphate(3-) | NA | No image available |
| CHEBI:57566 | 2'-deoxycytosine 5'-monophosphate(2-) | NA | No image available |
| CHEBI:57579 | D-fructose 6-phosphate(2-) | NA | No image available |
| CHEBI:57627 | 1D-myo-inositol 1,4,5,6-tetrakisphosphate(8-) | NA | No image available |
| CHEBI:57658 | 1-phosphatidyl-1D-myo-inositol 3,4-bisphosphate(5-) | NA | No image available |
| CHEBI:57673 | 2'-deoxyguanosine 5'-monophosphate(2-) | NA | No image available |
| CHEBI:57674 | N-acylsphingosine 1-phosphate(2-) | NA | No image available |
| CHEBI:57684 | beta-D-glucose 1-phosphate(2-) | NA | No image available |
| CHEBI:57693 | aldehydo-D-arabinose 5-phosphate(2-) | NA | No image available |
| CHEBI:57739 | phosphatidate(2-) | NA | No image available |
| CHEBI:57795 | 1-phosphatidyl-1D-myo-inositol 5-phosphate(3-) | NA | No image available |
| CHEBI:57836 | 1-phosphatidyl-1D-myo-inositol 3,4,5-trisphosphate(7-) | NA | No image available |
| CHEBI:57865 | uridine 5'-monophosphate(2-) | NA | No image available |
| CHEBI:57895 | 1D-myo-inositol 1,3,4,5-tetrakisphosphate(8-) | NA | No image available |
| CHEBI:57923 | 1-phosphatidyl-1D-myo-inositol 3,5-bisphosphate(5-) | NA | No image available |
| CHEBI:57939 | sphinganine 1-phosphate(1-) | NA | No image available |
| CHEBI:58033 | 2-phosphonatoglycolate(3-) | NA | No image available |
| CHEBI:58053 | IMP(2-) | NA | No image available |
| CHEBI:58083 | glycerol 2-phosphate(2-) | NA | No image available |
| CHEBI:58088 | 1-phosphatidyl-1D-myo-inositol 3-phosphate(3-) | NA | No image available |
| CHEBI:58115 | guanosine 5'-monophosphate(2-) | NA | No image available |
| CHEBI:58130 | myo-inositol hexakisphosphate(12-) | NA | No image available |
| CHEBI:58178 | 1-phosphatidyl-1D-myo-inositol 4-phosphate(3-) | NA | No image available |
| CHEBI:58190 | O-phosphonatoethanaminium(1-) | NA | No image available |
| CHEBI:58210 | FMN(3-) | NA | No image available |
| CHEBI:58225 | alpha-D-glucose 6-phosphate(2-) | NA | No image available |
| CHEBI:58245 | 2'-deoxyadenosine 5'-monophosphate(2-) | NA | No image available |
| CHEBI:58247 | beta-D-glucose 6-phosphate(2-) | NA | No image available |
| CHEBI:58248 | 2,3-bisphosphonato-D-glycerate(5-) | NA | No image available |
| CHEBI:58273 | aldehydo-D-ribose 5-phosphate(2-) | NA | No image available |
| CHEBI:58282 | 1D-myo-inositol 1,4-bisphosphate(4-) | NA | No image available |
| CHEBI:58339 | 3'-phosphonato-5'-adenylyl sulfate(4-) | NA | No image available |
| CHEBI:58343 | adenosine 3',5'-bismonophosphate(4-) | NA | No image available |
| CHEBI:58392 | alpha-D-glucose 1,6-bisphosphate(4-) | NA | No image available |
| CHEBI:58401 | 1D-myo-inositol 3-phosphate(2-) | NA | No image available |
| CHEBI:58414 | 1D-myo-inositol 1,3,4-trisphosphate(6-) | NA | No image available |
| CHEBI:58433 | 1D-myo-inositol 1-phosphate(2-) | NA | No image available |
| CHEBI:58451 | pyridoxamine 5'-phosphate(1-) | NA | No image available |
| CHEBI:58456 | 1-phosphatidyl-1D-myo-inositol 4,5-bisphosphate(5-) | NA | No image available |
| CHEBI:58469 | 1D-myo-inositol 4-phosphate(2-) | NA | No image available |
| CHEBI:58579 | beta-D-fructofuranose 2,6-bisphosphate(4-) | NA | No image available |
| CHEBI:58589 | pyridoxine 5'-phosphate(2-) | NA | No image available |
| CHEBI:58601 | alpha-D-glucose 1-phosphate(2-) | NA | No image available |
| CHEBI:58759 | 6-phosphonatooxy-D-gluconate | NA | No image available |
| CHEBI:59505 | 2-hydroxy-5-(methylsulfanyl)-3-oxopent-1-enyl phosphate(2-) | NA | No image available |
| CHEBI:597326 | pyridoxal 5'-phosphate(2-) | NA | No image available |
| CHEBI:60119 | sphingosine 1-phosphate(1-) | NA | No image available |
| CHEBI:60377 | cytidine 5'-monophosphate(2-) | NA | No image available |
| CHEBI:60522 | phosphatidylglycerol phosphate(3-) | NA | No image available |
| CHEBI:60784 | 3'-UMP(2-) | NA | No image available |
| CHEBI:61194 | 2'-deoxyinosine 5'-phosphate(2-) | NA | No image available |
| CHEBI:61392 | fructoselysine 6-phosphate(1-) | NA | No image available |
| CHEBI:61488 | poly(lysine) polymer | NA | No image available |
| CHEBI:62383 | 1D-myo-inositol 2-phosphate | NA | No image available |